
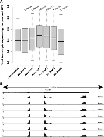
Global switch to shorter 3′ UTR expression in stimulated DCs. (A) Boxplots of the fraction of transcripts expressing the shortest UTR for genes with detectable expression of at least two distinct 3′ UTRs in unstimulated DCs (total of 1807). P-values were computed using a Mann-Whitney rank sum test between the unstimulated distribution and each of the time points shown. (B) Illustrative example showing the subtle yet reproducible increase in the expression of the shorter isoform of Tmem248 in stimulated DCs. Read coverage is normalized to library size.











