
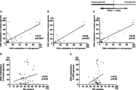
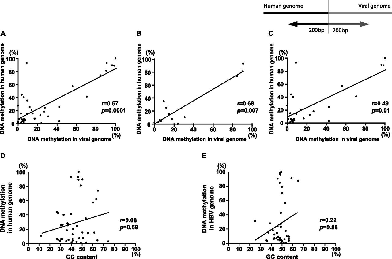
Correlation analysis between the methylation pattern of the integrated HBV DNA and that of the human genome. DNA fragments, including 200 bp of the HBV DNA and 200 bp of the human genome around the boundary, were analyzed for average methylation and GC content. (A) A correlation between the average methylation of the HBV DNA and that of the human genome in combined two cell lines and eight clinical samples (n = 40, r = 0.57, P = 0.0001, 95%CI = 0.3091–0.7545). (B) A correlation between the average methylation of the HBV DNA and that of the human genome in two cell lines (n = 14, r = 068, P = 0.007, 95%CI = 0.2233–0.8946). (C) A correlation between the average methylation of the HBV DNA and that of the human genome in eight clinical samples (n = 26, r = 0.49, P = 0.01, 95%CI = 0.1222–0.7463). (D) No correlation between the average methylation and GC contents in the human genome in the combined two cell lines and eight clinical samples (n = 45, r = 0.08, P = 0.59, 95%CI = −0.2253–0.3745). (E) No correlation between the average methylation and GC contents in the viral genome in the combined two cell lines and eight clinical samples (n = 47, r = 0.22, P = 0.88, 95%CI = −0.3151–0.2751).











