
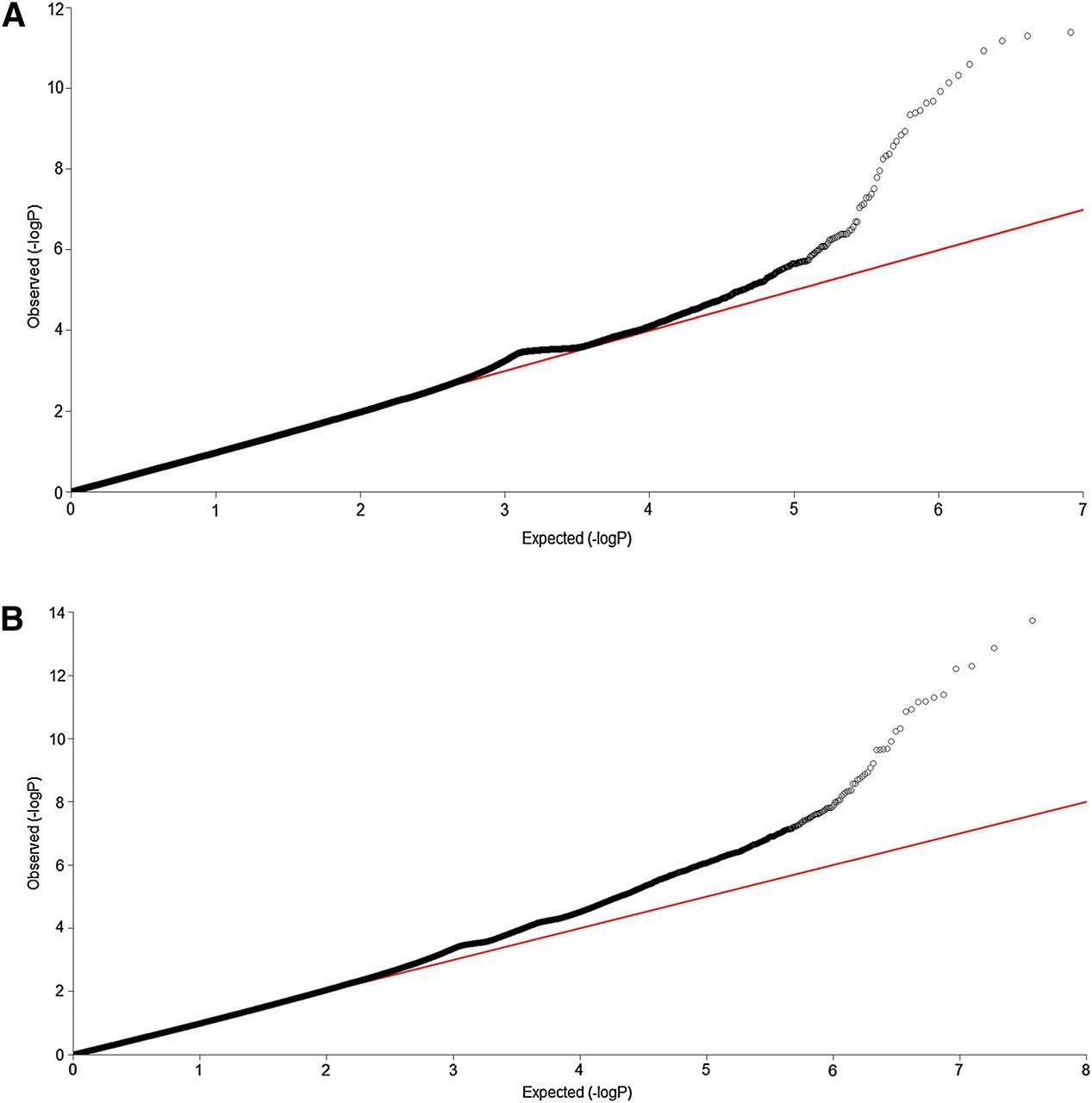
Figure 2.
(A) QQ plot for the ESP data set. (B) QQ plot for the CHARGE-S data set.
(Downloading may take up to 30 seconds. If the slide opens in your browser, select File -> Save As to save it.)
Click on image to view larger version.