
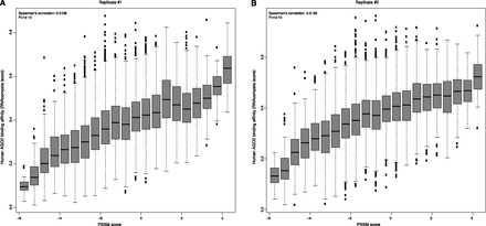
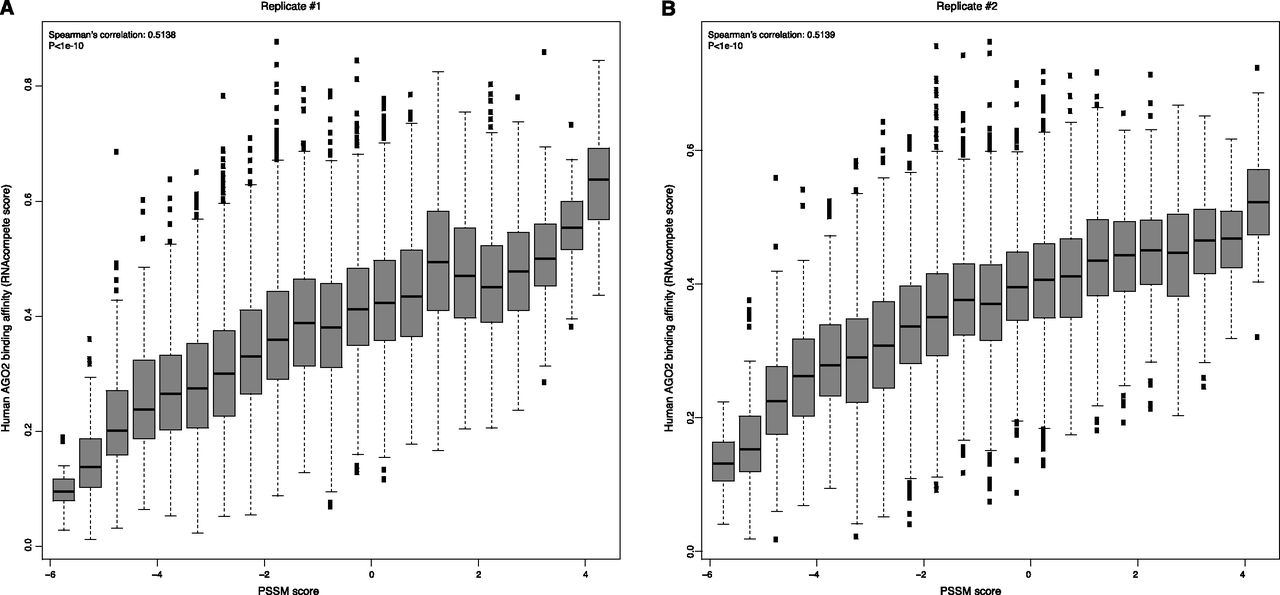
Significant correlation between RNAcompete scores and PSSM scores for the identified motif in replicate 1 (A) and replicate 2 (B). In both panels, the higher RNAcompete scores indicate greater binding specificities of AGO2 measured from the assay. Similarly, higher PSSM scores represent a greater resemblance of the identified motif. It is clear that sequences with high similarity with the identified motif tend to have a higher binding specificity of human AGO2.











