
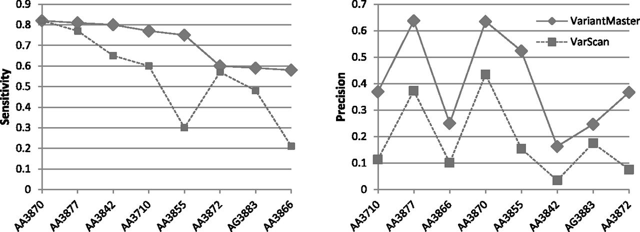
Performance of VariantMaster on the extraction of somatic variants from eight TCGA colorectal cancer matched tumor-germline samples in comparison with VarScan. VariantMaster yielded better results in all analyzed samples. In particular, VariantMaster achieved an average sensitivity of 72%, significantly higher than VarScan (55%). Moreover, VariantMaster outperformed VarScan in terms of precision, obtaining an average of 40% compared with 18% obtained by VarScan.











