
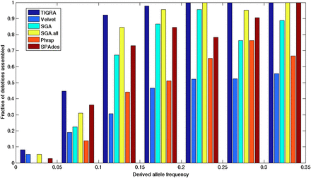
Comparison of assembly success rate at various allele frequencies in 45 CEU samples. Six assemblers are plotted: TIGRA (purple), Velvet (blue), SGA (cyan), SGA.all (yellow), Phrap (red), and SPAdes (brown). Allele frequencies (x-axis) are derived from the deletion genotypes released by The 1000 Genomes Project Consortium, and the fraction of success (y-axis) is estimated from 245 control deletion sites.











