
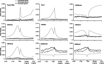
Figure 3.
Chromatin profiles in promoter proximal regions of expressed, activatable, and occluded genes in 129TF. Profiles of poly(A) RNA are based on RNA-seq while the eight chromatin marks are based on ChIP-seq.
(Downloading may take up to 30 seconds. If the slide opens in your browser, select File -> Save As to save it.)
Click on image to view larger version.

Chromatin profiles in promoter proximal regions of expressed, activatable, and occluded genes in 129TF. Profiles of poly(A) RNA are based on RNA-seq while the eight chromatin marks are based on ChIP-seq.