
Figure 3.
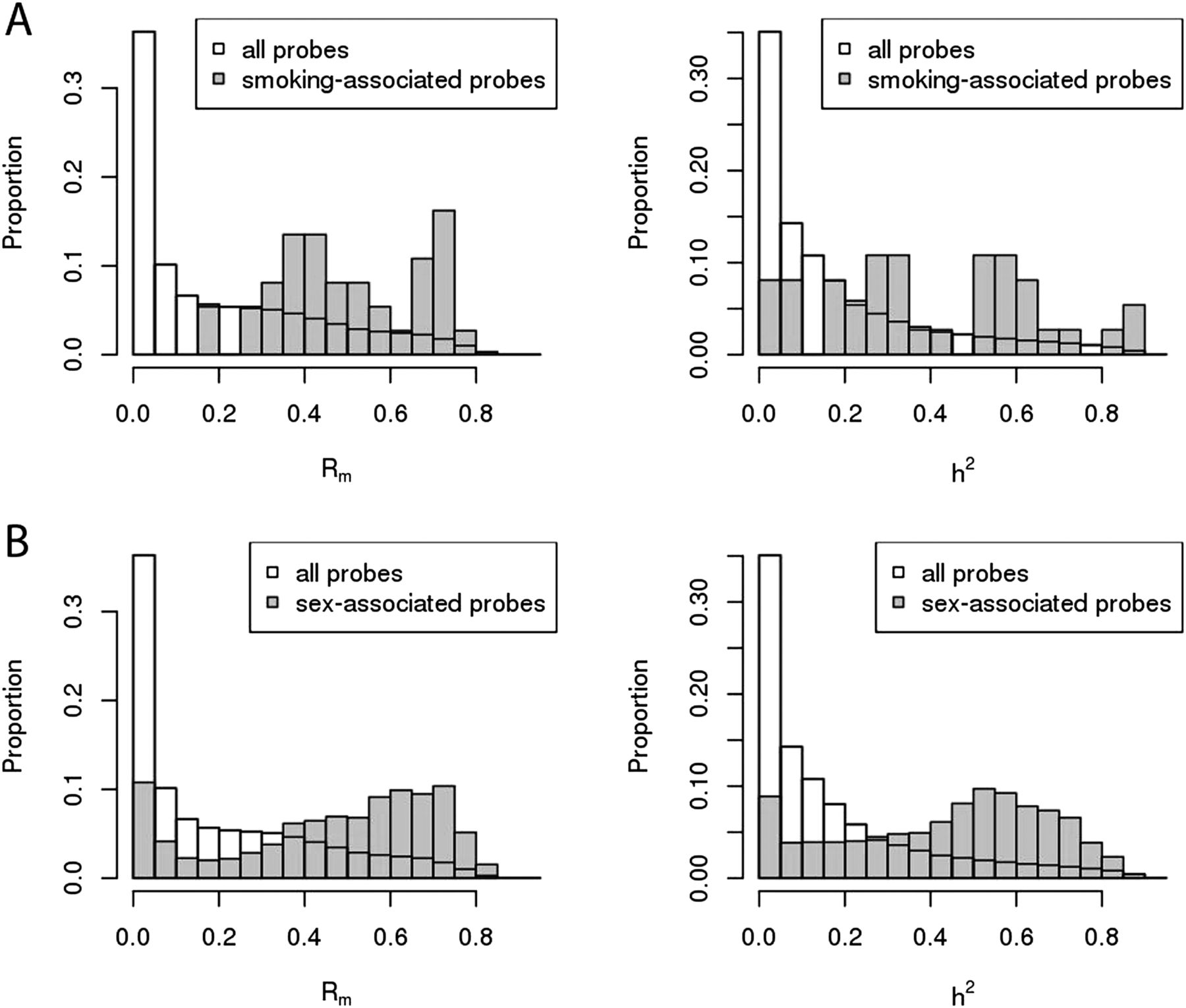
Distribution of Rm and h2 for smoking- and sex-associated CpG sites. (A) 37 smoking-associated autosomal probes. (B) 1687 sex-associated autosomal probes.
(Downloading may take up to 30 seconds. If the slide opens in your browser, select File -> Save As to save it.)
Click on image to view larger version.

Distribution of Rm and h2 for smoking- and sex-associated CpG sites. (A) 37 smoking-associated autosomal probes. (B) 1687 sex-associated autosomal probes.