
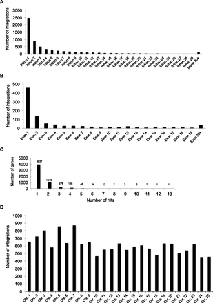
Figure 4.
Summary of proviral integrations from 6144 F1 fish. (A) Distribution of the 6933 retroviral integrations in introns; 40% of integrations (2813/6933) are in the first intron. (B) Distribution of 963 integrations in exons. (C) Number of hits per gene based on integrations with unique genomic coordinates; 72% of genes have only one integration. (D) Distribution of 15,223 integrations across all chromosomes.











