
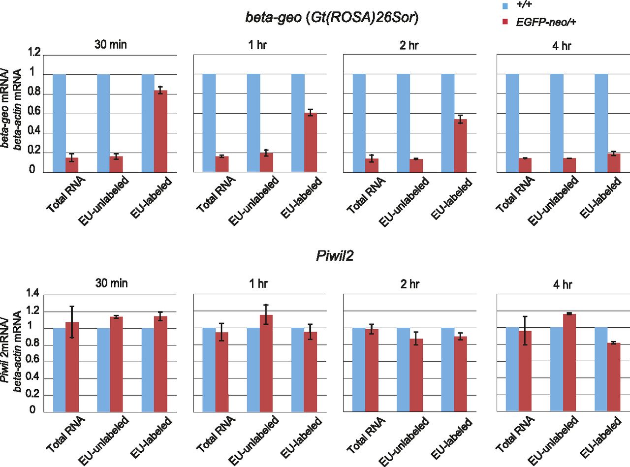
Figure 5.
Reduced stability of beta-geo mRNA in EGFP-neo/+ testes. Newly synthesized RNA was pulse-labeled with EU in testicular germ cells collected at 5 wk after birth, and RNA was isolated for qRT-PCR at the indicated time point after the withdrawal of EU. The level of beta-actin mRNA was used as a reference. Error bars indicate SDs of four biological replicates.











