
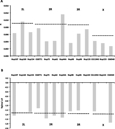
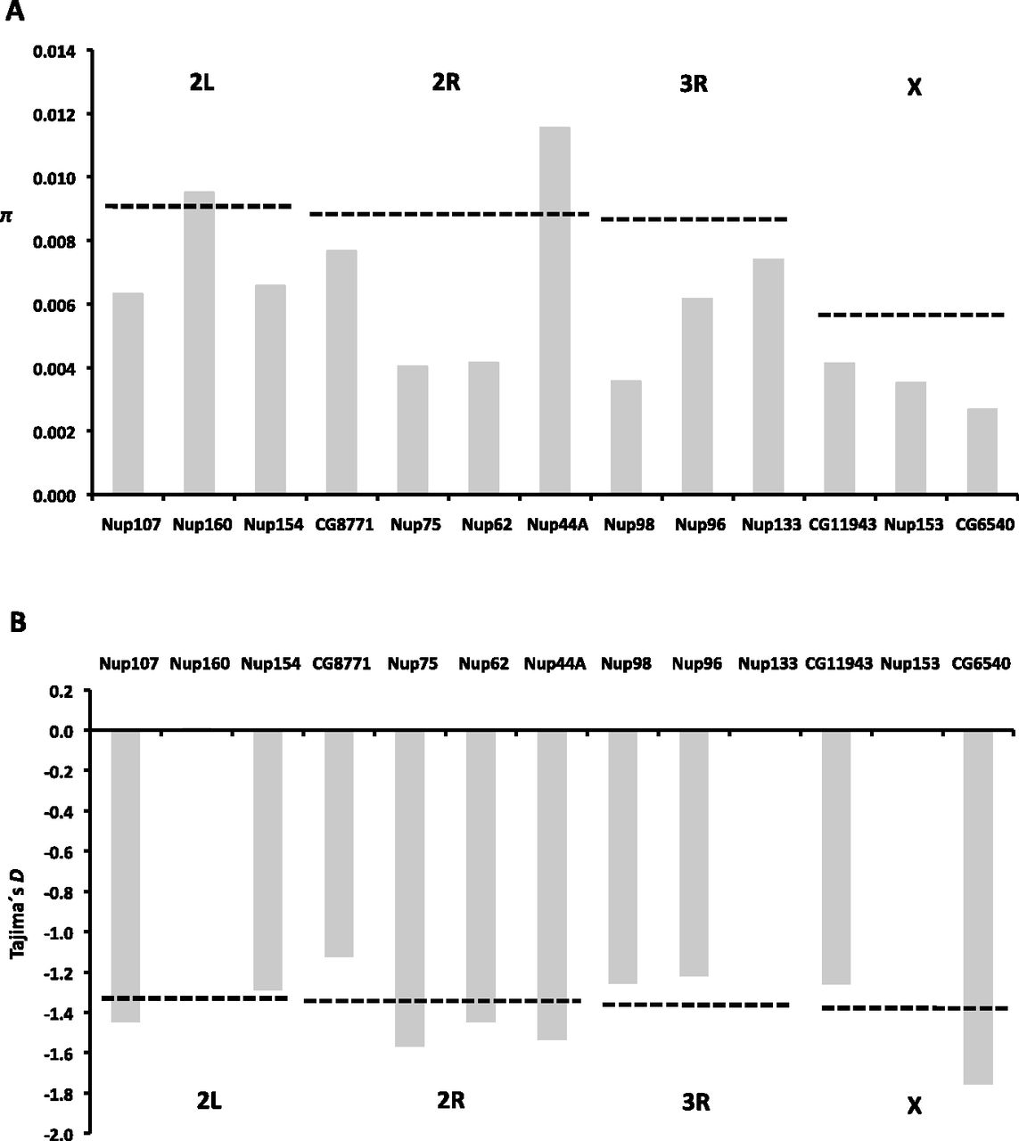
Figure 6.
Nucleotide diversity (π) and Tajima's D at selected nucleoporin genes in D. mauritiana. (A) Nucleotide diversity (π) at selected nucleoporin genes in comparison to the average chromosome-wide nucleotide diversity (π) of the corresponding chromosome (dashed line). (B) Tajima's D at selected nucleoporin genes in comparison to the average chromosome-wide Tajima's D of the corresponding chromosome (dashed line).











