
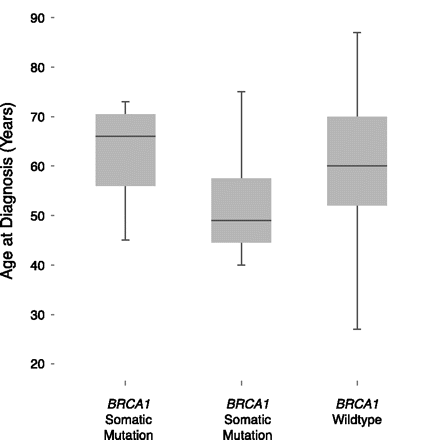
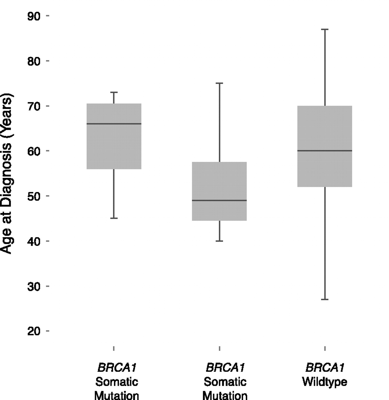
Figure 4.
BRCA1 variant status versus sample age of diagnosis for the OV data set. A boxplot of the age of diagnosis of 315 OV patients grouped by their BRCA1 mutation status. Germline BRCA1 variant status is correlated with a lower age of diagnosis via the CCT (P = 2.456 × 10−5).











