
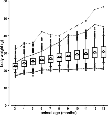
Time course of synthetic population body weight. Longitudinal body weight distributions of the synthetic population from ages 3–13 mo (min N = 416; max N = 490). At each month, (open box) the interquartile range; (whiskers) the 5%–95% range; and (open circles) the individual values of the upper and lower 5%. The longitudinal trajectories for the two highest-weight individuals ([dotted line] animal P0358, 2.29 g/mo; [single dashed line] animal P1023, 2.19 g/mo) and the two lowest-weight individuals are shown ([double-dashed line] animal P1373, 0.19 g/mo; [solid line] animal P5909, 0.19 g/mo).











