
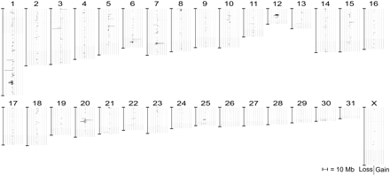
Figure 2.
Distribution of CNVs in the horse genome. The bars on left indicate losses relative to the reference Thoroughbred, while those on the right indicate gains. The increase in bar length indicates an increase in number of samples sharing the CNV.











