
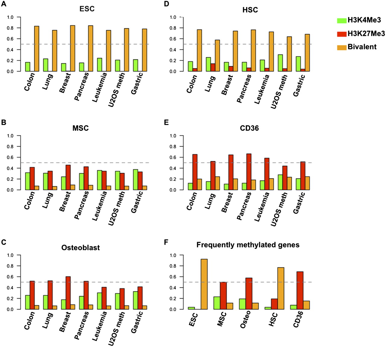
Genes hypermethylated in a wide range of cancers are enriched for bivalent chromatin in ESCs and HSCs or H3K27Me3 in MSCs and CD36 erythroid progenitor cells or osteoblasts. Plots of the percentage of methylated genes tracing to each chromatin category (indicated by color for the chromatin type) of each of the cell types listed are indicated for each of the tumor types listed on the x-axis. (Dashed lines) The 50% mark for fraction of methylated genes. (A–E) Plots track the histone marks present for methylated genes based on the chromatin composition of ESCs, HSCs, MSCs, CD36, and osteoblasts, respectively. (F) Summary of the chromatin marks in each cell type for genes that are hypermethylated in at least 50% of cell lines in each tumor type.











