Skip to main page content
HOME
ABOUT
ARCHIVE
SUBMIT
SUBSCRIBE
ADVERTISE
AUTHOR INFO
CONTACT
HELP
Search for Keyword:
GO
Advanced Search
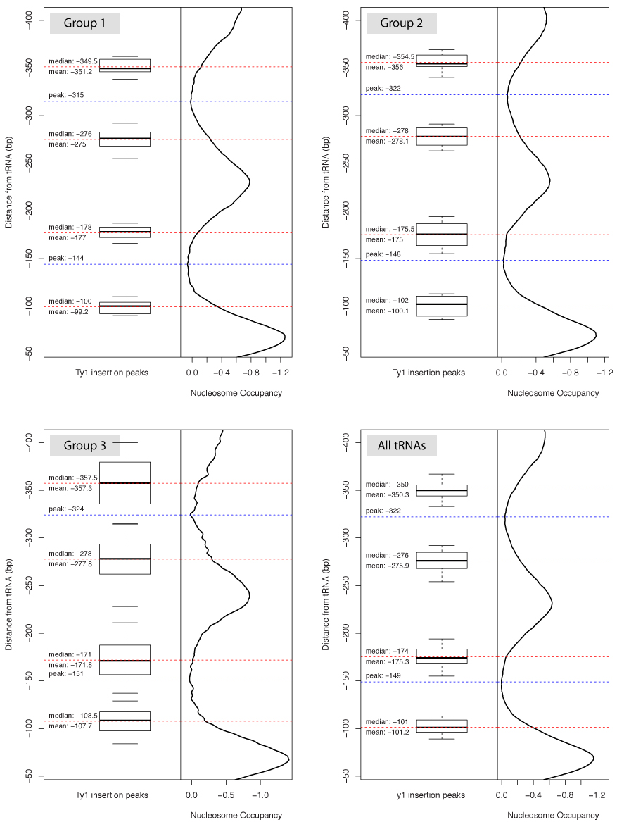
Retrotransposon Ty1 integration targets specifically positioned asymmetric nucleosomal DNA segments in tRNA hotspots
Supplemental Material
Files in this Data Supplement:
Supp Fig S2.pdf
Supp Fig S3.pdf
Supp Fig S1.jpg
Supp Fig S4.jpg
This Article
Published in Advance
January 4, 2012
, doi:
10.1101/gr.129460.111
Genome Res.
April 2012
vol. 22
no. 4
693-703
Abstract
Free
Full Text
Free
Full Text (PDF)
»
Supplemental Material
Preprint Server
Current Issue
March 2026, 36 (3)
In This Issue
Single-cell gene signature scoring
Chromosome engineering in 8p syndrome
Convergent evolution in arid rodents
Short tandem repeat genotyping using long reads
Spectral component approach for recent population structure
Alert me to new issues of
Genome Research
Advance Online Articles
Submit a Manuscript
GR in the News
Editorial Board
Permissions
E-mail Alerts & RSS Feeds
Recommend to Your Library
Job Opportunities