
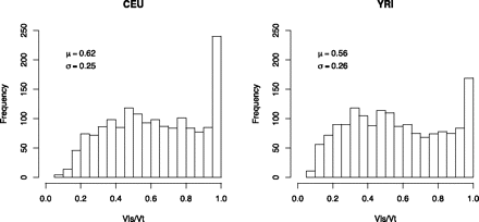
Figure 5.
Variability in gene expression versus variability in alternative splicing as measured by Vls/Vt. See text for an explanation of the multiplicative model.
(Downloading may take up to 30 seconds. If the slide opens in your browser, select File -> Save As to save it.)
Click on image to view larger version.

Variability in gene expression versus variability in alternative splicing as measured by Vls/Vt. See text for an explanation of the multiplicative model.