
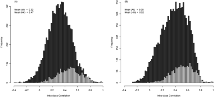
Distributions of intraclass correlations
of the 9555 genes significantly expressed in all samples (both LCL and WB). (A,B) Distributions of the correlation coefficients for the WB and LCL samples, respectively. (Light gray) Housekeeping genes
(Zhu et al. 2008b) (see Results). Mean estimates of
for all (All) and housekeeping (HK) genes are shown. Distributions of genes with significant heritabilities (FDR = 0.05)
are given in Supplemental Figure 5.











