
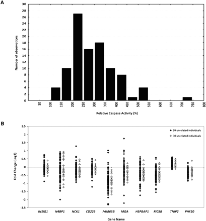
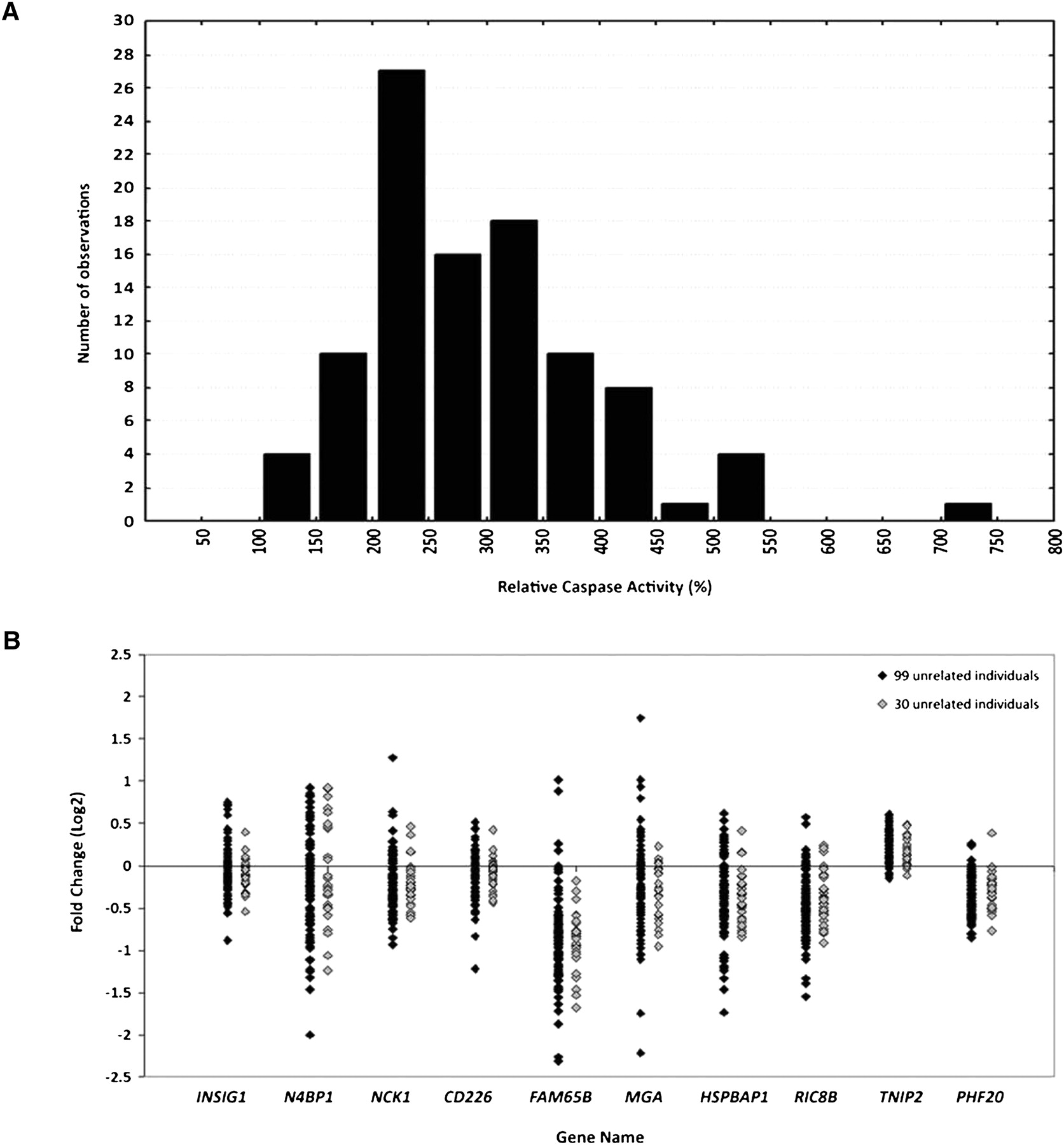
Variability in cellular responses to radiation exposure. (A) Relative caspase 3/7 activity varies in cultured B cells from 99 unrelated individuals following exposure to IR. For each individual, relative caspase activity is a mean of two independent measurements. (B) Fold changes in 10 radiation-responsive genes at 2 h following radiation exposure; data for the 99 unrelated individuals in this study are shown as black diamonds, data for the 30 unrelated individuals from our previous study (Smirnov et al. 2009) as gray diamonds. TNIP2 and PHF20 are examples of radiation-responsive genes that show less individual variability.











