
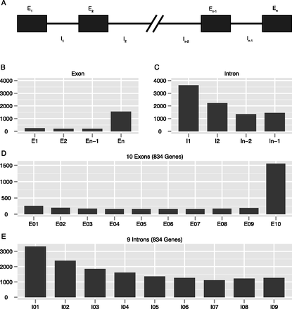
Figure 3.
Lengths of exons and introns with respect to their relative positions in genes. (A) Labeling method for introns and exons used in the following panels. (B,C) Average length of exons and introns diagrammed in A. (D,E) Average length of each exon and intron in all genes containing 10 exons.











