
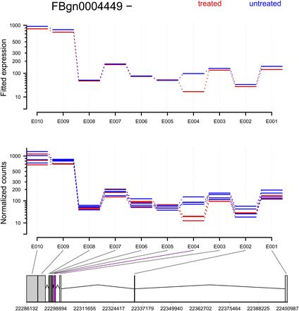
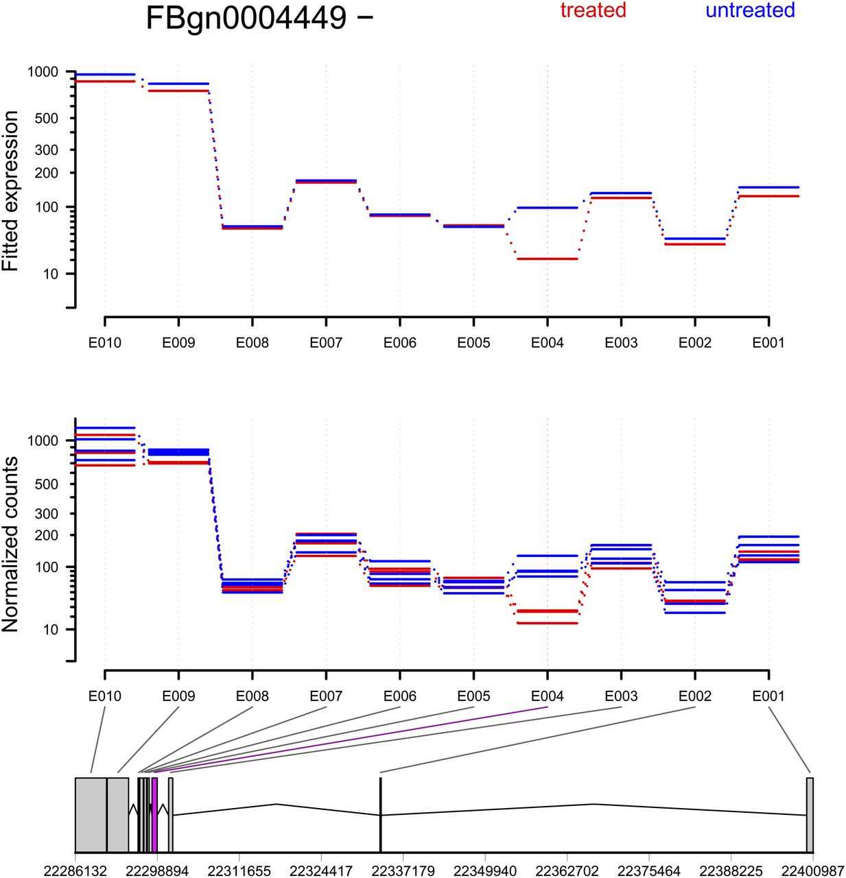
Figure 3.
The treatment of knocking down the splicing factor pasilla affects the fourth exon (counting bin E004) of the gene Ten-m (CG5723). (Top panel) Fitted values according to the linear model; (middle panel) normalized counts for each sample; (bottom panel) flattened gene model. (Red) Data for knockdown samples; (blue) control.











