
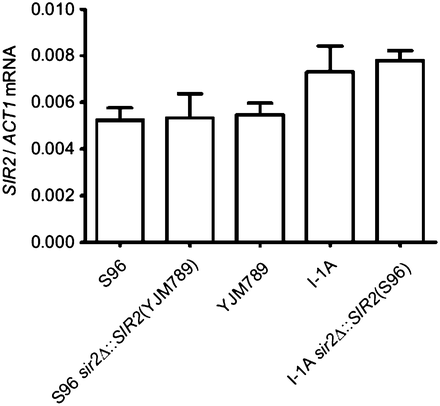
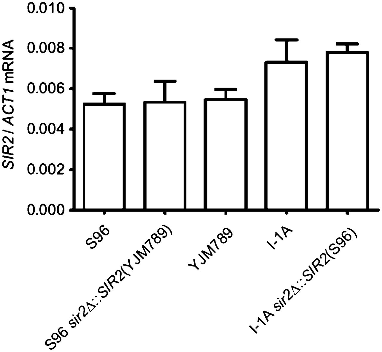
Figure 5.
SIR2 expression. The expression level of SIR2 mRNA is shown for strains S96, S96 sir2Δ∷SIR2(YJM789), YJM789, I-1A, and I-1A sir2Δ∷SIR2(S96). I-1A is the recombinant line with the longest RLS. Standard error bars are shown for three biological replicates each; the differences are not statistically significant.











