
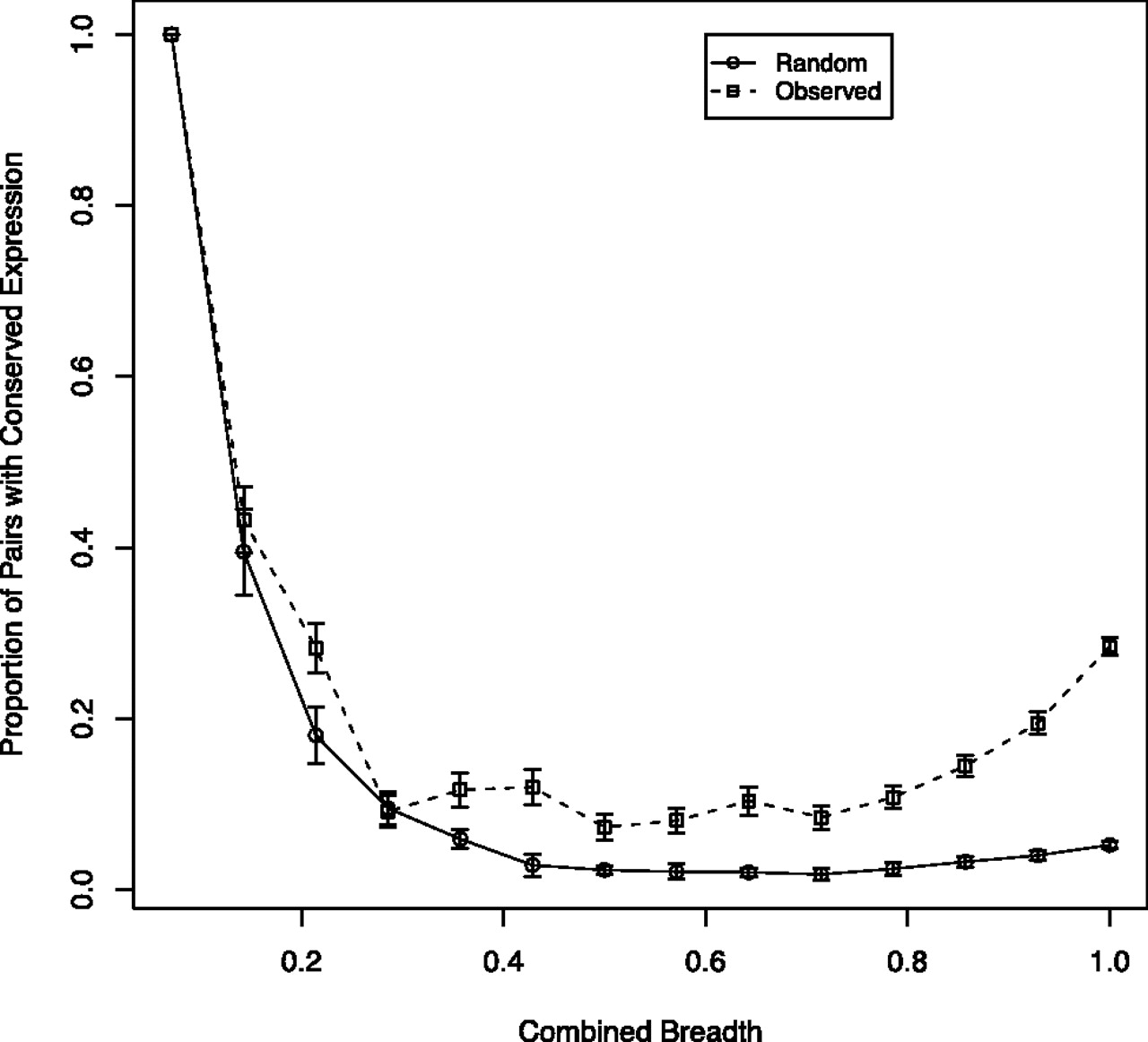
The proportion of Salicoid duplicate genes with conserved expression plotted against the combined breadth of the two duplicate genes for the observed and random distributions. Conserved expression was defined as a Spearman expression distance less than 0.3, which corresponded to the lower 5% cutoff of expression distances for permuted genes. Error bars denote the standard error obtained by 1000 bootstrap replicates.











