Skip to main page content
HOME
ABOUT
ARCHIVE
SUBMIT
SUBSCRIBE
ADVERTISE
AUTHOR INFO
CONTACT
HELP
Search for Keyword:
GO
Advanced Search
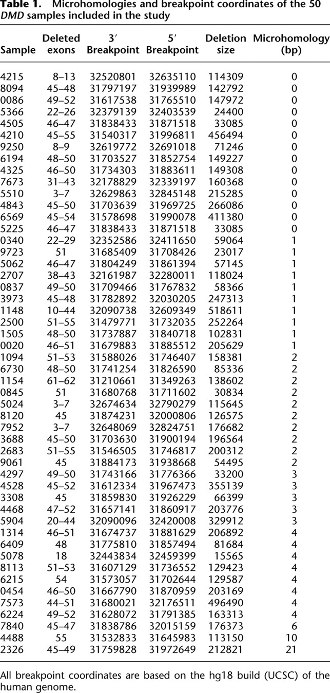
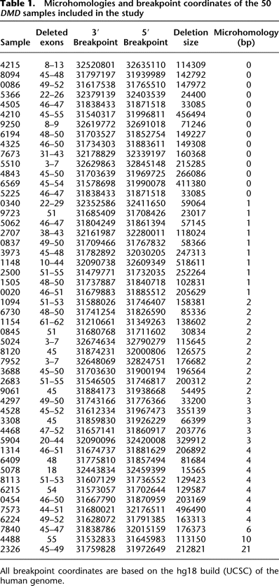
Aberrant firing of replication origins potentially explains intragenic nonrecurrent rearrangements within genes, including the human
DMD
gene
Click on image to view larger version.
CiteULike
Delicious
Digg
Facebook
Google+
Reddit
Twitter
What's this?
This Article
Published in Advance
November 16, 2011
, doi:
10.1101/gr.123463.111
Genome Res.
2012.
22:
25-34
Abstract
Free
Full Text
Free
Full Text (PDF)
Supplemental Material
Preprint Server
Current Issue
March 2026, 36 (3)
In This Issue
Single-cell gene signature scoring
Chromosome engineering in 8p syndrome
Convergent evolution in arid rodents
Short tandem repeat genotyping using long reads
Spectral component approach for recent population structure
Alert me to new issues of
Genome Research
Advance Online Articles
Submit a Manuscript
GR in the News
Editorial Board
Permissions
E-mail Alerts & RSS Feeds
Recommend to Your Library
Job Opportunities