
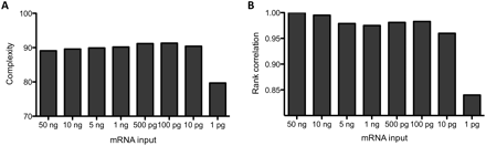
Tn–RNA-seq libraries constructed from as low as 10 pg of mRNA are high quality and show highly correlated expression levels. (A) Library complexity, calculated as the number of different alignment positions in a random set of 1 million aligned reads divided by 1 million, is shown for libraries made with between 50 ng and 1 pg of mRNA. (B) Rank correlations of expression measurements between the library constructed with 50 ng of mRNA and every other Tn–RNA-seq library are displayed.











