
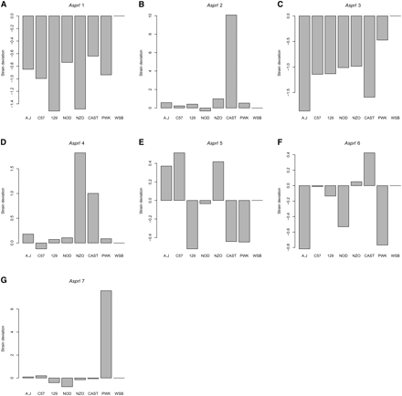
Figure 6.
Estimated effects on survival time after Aspergillus fumigatus infection, for the eight CC founder strains for each of the Asprl QTLs. Effects are shown as deviations relative to WSB/EiJ, which is assigned the trait effect of 0. The x-axis of each plot shows the founder strains; the y-axis shows the estimated parameter
for the haplotype of the CC founder s.











