
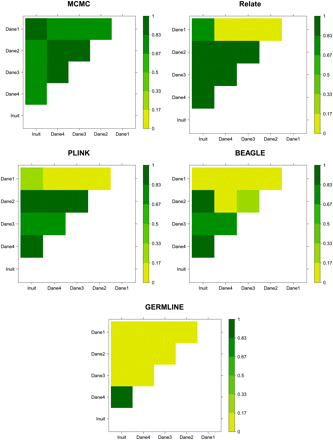
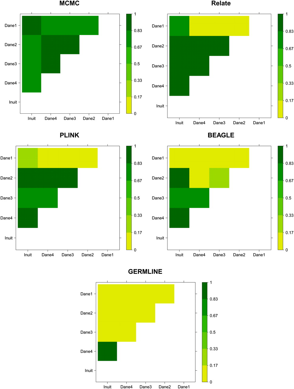
Figure 6.
Probabilities of sharing at least one chromosome IBD between all 10 pairs of affected individuals in the BRCA1 gene. The probabilities are depicted for the MCMC method, Relate, PLINK, BEAGLE, and GERMLINE, respectively.
(Downloading may take up to 30 seconds. If the slide opens in your browser, select File -> Save As to save it.)
Click on image to view larger version.

Probabilities of sharing at least one chromosome IBD between all 10 pairs of affected individuals in the BRCA1 gene. The probabilities are depicted for the MCMC method, Relate, PLINK, BEAGLE, and GERMLINE, respectively.