
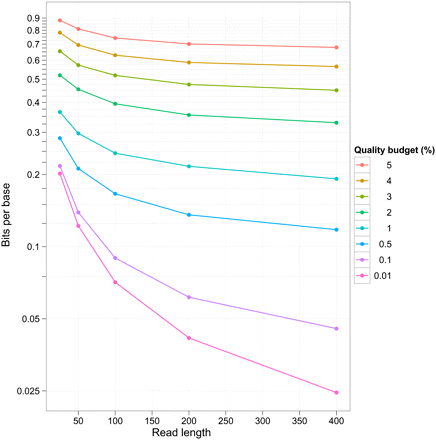
Storage costs for different quality budgets. The plot shows the change in storage cost (expressed as bits/base, including quality information, y-axis) with respect to read length for different quality budgets for a fixed coverage (10×) simulated data set. Note that not only do lower quality budgets compress better, but also the compression efficiency improves proportionally more at lower quality budgets for higher read lengths. Quality budgets are the percentage of base pairs in the data set for which quality scores are retained.











