
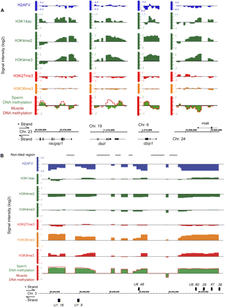
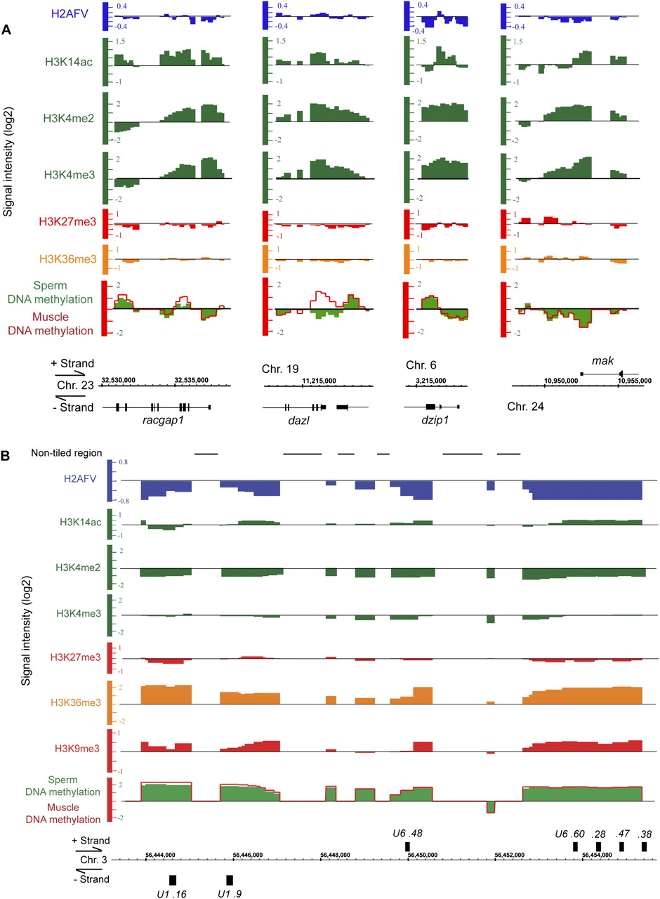
Figure 4.
Chromatin features of genes expressed during spermatogenesis and of repetitive regions reveal atypical use of H3K36me3. (A) Genes involved in spermatogenesis show strong enrichment of active marks, but not H3K36me3 or other repressive marks. (B) U1 and U6 repetitive genes are enriched with H3K36me3, DNA methylation, and the repressive mark, H3K9me3.











