Genome-wide analysis of retrogene polymorphisms in Drosophila melanogaster

Click on image to view larger version.

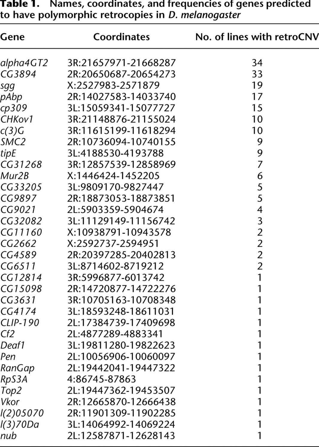
Table 1.

This Article

  1. Genome Res. 21: 2087-2095

Preprint Server