
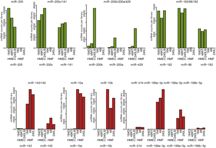
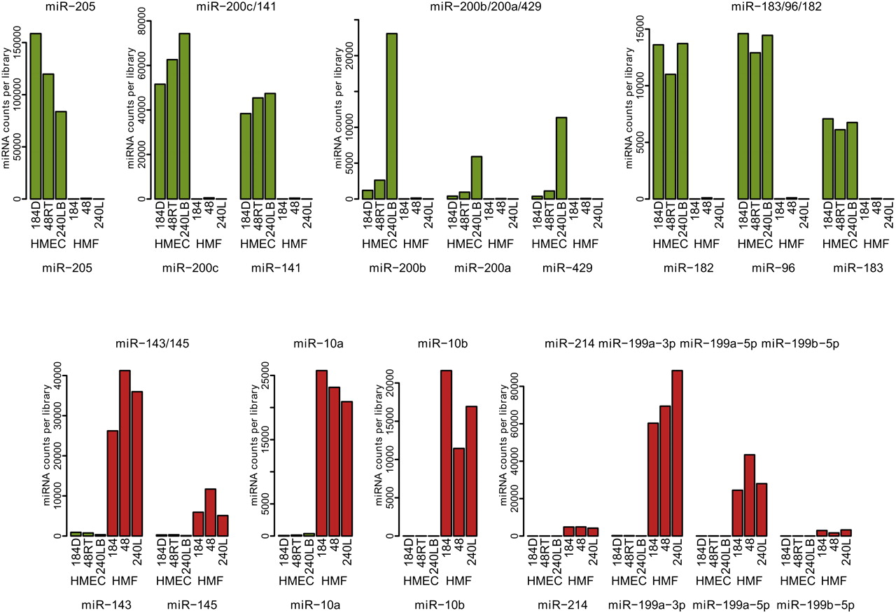
Expression data for selected cell type–specific miRNA genes obtained by sequencing of small RNA libraries from isogenic pairs of human mammary epithelial and fibroblast cells. The normalized counts for each sample are displayed. (Green) Individual HMEC samples; (red) their paired HMF samples. The expression levels of the 392 detected mature miRNAs across all six samples are presented in Supplemental Data 1.











