
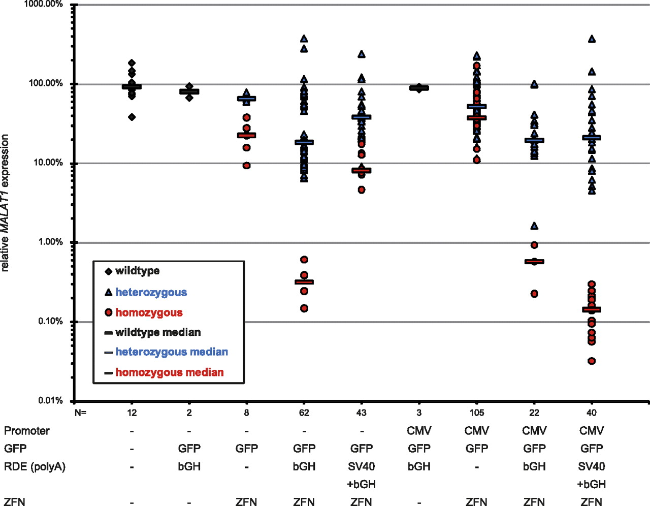
Genotype–phenotype correlation in single-cell clones. For 297 clones, the genotype was determined. In a pristine correlation, the lowest MALAT1 levels were only found in homozygous clones harboring biallelic RDE integration (red). The homozygous integration of “CMV-GFP-SV40+bGH” (last column) yielded clones with <0.1% MALAT1 expression (median = 0.14%). Displayed are the MALAT1 expression levels of individual clones, as well as the median expression levels in the individual groups (Cells-to-CT; reference gene: RN7SL1).











