
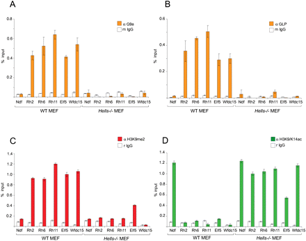
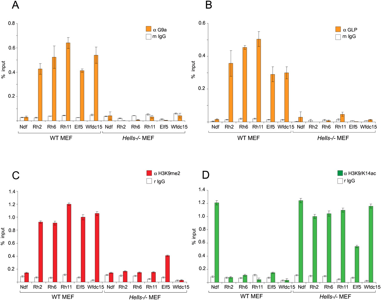
H3K9me2 and G9a/GLP are absent from Rhox and other promoters in Hells−/− MEFs. (A,B) ChIP experiments detect loss of G9a and GLP binding (gray bars) from the promoters of Rhox2, Rhox6/9, Rhox11, Elf5 and Wfdc15 in Hells−/− compared with wild-type (WT) MEFs. The promoter of the expressed Ndufa1 gene was used as a control. Total mouse IgG served as a nonspecific control antibody (white bars). (C,D) ChIP assays detect loss of H3K9me2 (C) and gain of H3 K9/K14 acetylation at Rhox, Elf5, and Wfdc15 promoters in Hells−/− MAFs. All graphs show the average enrichment ± SD from two independent chromatin preparations and ChIP experiments performed and analyzed in triplicate.











