
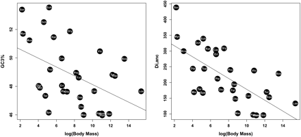
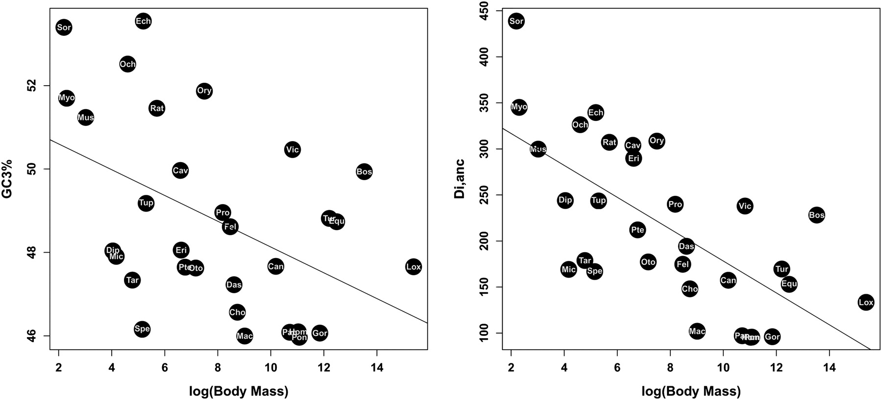
Figure 5.
Relationship between adult body mass and GC3 (left) and Di,anc (right).
(Downloading may take up to 30 seconds. If the slide opens in your browser, select File -> Save As to save it.)
Click on image to view larger version.