
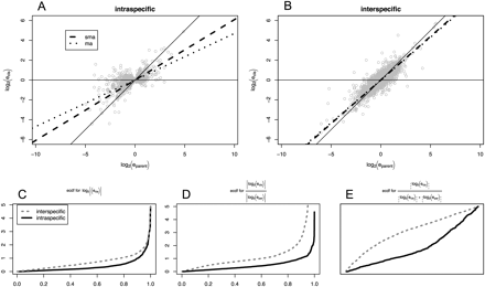
Between-species regulatory differences are dominated by cis-regulatory changes more than within-species differences. A and B follow Figure 1 in Wittkopp et al. (2008), by comparing the regression between hybrid and co-culture lines for intraspecific and interspecific variation, respectively. The slope for the interspecific comparison (A) is larger than for the intraspecific comparison (B), regardless of the line-fitting method used (SMA and MA regressions were conducted using the “smatr” package in R (Warton et al. 2006; R Development Core Team 2009). C–E follow Figure 2 in Wittkopp et al. (2008). Measurements of cis between species consistently dominate, regardless of how they are measured. All comparisons are significant, P < 2.2 × 10−16, indicating that cis-regulatory changes dominate between species more than within species.











