
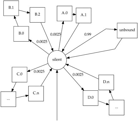
Toy example schematic of a Sunflower model for TFs. (Circle) Silent state, (squares) emitting states, (arcs) transitions between states with nonzero probability. The transition probability is either designated by a label, or is 1 in the case of unlabeled areas. (Squares with ellipses) Arbitrary number of sequential states. This toy example includes TFs A, B, C, and D, each one with a petal of emitting states, labeled such that D.0 corresponds to the first column of the D PWM, and D.n the last column. The arc from empty space indicates the initial state of the model.











