
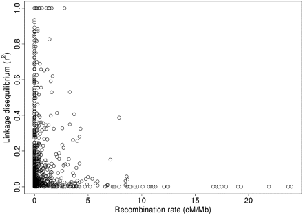
Figure 6.
The relationship between the recombination rate (cM/Mb) and the level of linkage disequilibrium (r2) for all adjacent marker pairs within linkage groups in the zebra finch genetic map.











