
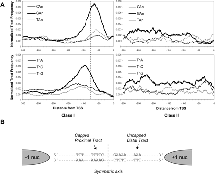
5′ G:C capping splits poly(dA:dT) tracts into subpopulations proximal and distal to the symmetric axis. (A) Frequencies of poly(dA:dT) tracts (n = 4) with different 5′ capping bases were computed in class I and class II promoters. Frequencies represented on the vertical axis are numbers of motifs per promoter per base smoothed across a 21-bp window. Bold black curves represent 5′ G:C capping. (B) Schematic representation of the data from (A) showing a hypothetical class I promoter with 5′ G:C-capped and -uncapped poly(dA:dT) tracts arranged across the symmetric axis.











