Integrative analysis of the melanoma transcriptome

Click on image to view larger version.

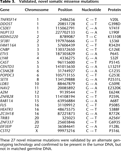
Table 3.

This Article

  1. Genome Res. 20: 413-427

Preprint Server