
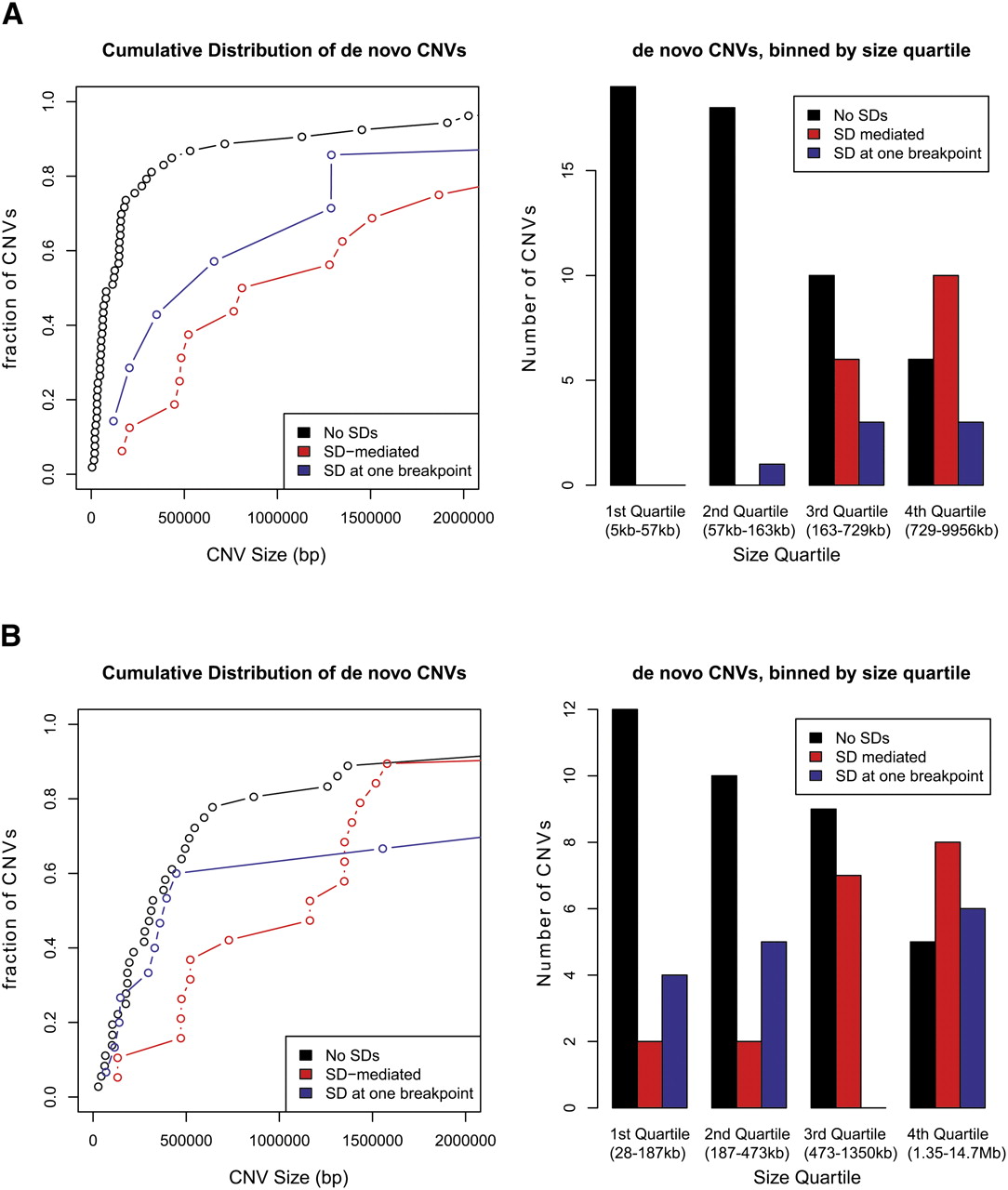
Comparison of de novo CNV size and potential underlying mechanisms. We classified de novo events into three categories: segmental duplication (SD)-mediated (CNV breakpoints were flanked by directly orientated SDs), SD at one breakpoint (a cluster of SDs one side), or no SDs (no SDs were identified). SDs were defined as segments >1 kbp and >90% sequence identity. (A) Using de novo events from the AGRE and asthma trios, the cumulative distribution (scatter plot) of CNV size and the frequency of CNV classes in each CNV size quartile are shown. Both SD-mediated and associated events are significantly enriched for de novo events above the median size (P = 3.1 × 10−7 and 0.018 respectively, two-tailed Fisher's exact test) where they account for 63% (24/38) of the events. (B) The analysis was repeated for a recent analysis of controls obtained from blood DNA (Stefansson et al. 2008). In this study, SD-mediated events were enriched for events above the median CNV size (P = 0.00964, two-tailed Fisher's exact test), while SD-associated events were not (P = 1, two-tailed Fisher's exact test).











