
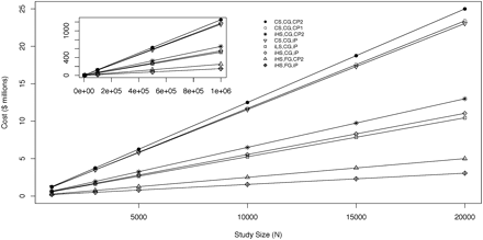
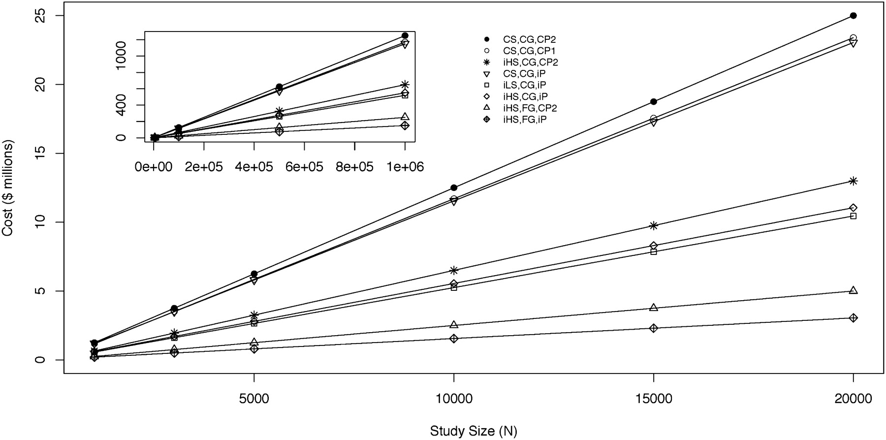
Costs of instrumenting the healthcare enterprise. Growth in costs of study as a function of number of subjects in a study is projected for different assumptions of the cost of sample acquisition, phenotyping, and genotyping. Eight lines are drawn corresponding to eight combinations of these three costs. The main diagram shows the projection for up to 20,000 subjects and the inset for up to one million. The costs for sample acquisition using i2b2 sample acquisition are $20 (LS) or $50 per sample for a larger population (HS) vs. the current cost (CS) of $650. The current costs for reviewing one record to phenotype a patient (CP1) or, more typically, five records reviewed per study patient identified (CP2) are estimated at $20/sample and $100/sample, respectively. High-throughput phenotyping through NLP (iP) is conservatively estimated at $50,000 per study. Current cost of genome-scale genotyping (CG) vs. lower cost genotyping (LG) within three years is estimated at $500 vs. $100, respectively. There is a range of about one-half order of magnitude cost reduction from having the phenotyping and sample acquisition done using i2b2 and another order of magnitude using genotyping costs projected for no more than three years from now. This is a difference, for a million-subject study, that covers a range from $1.2 billion to $150 million. These estimates are conservative, as none of the models considered provide for any improved efficiencies of scale.











