
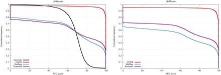
Cumulative distributions of RFC scores for human (A) and mouse (B). These graphs compare the RFC scores for CCDS loci with those of RefSeq and Ensembl loci that do not contain a CCDS protein, as well as a control data set for human. Since the controls were designed to have a similar alignment coverage to well-known genes, loci in other gene sets with less alignment coverage will score less than the controls.











