
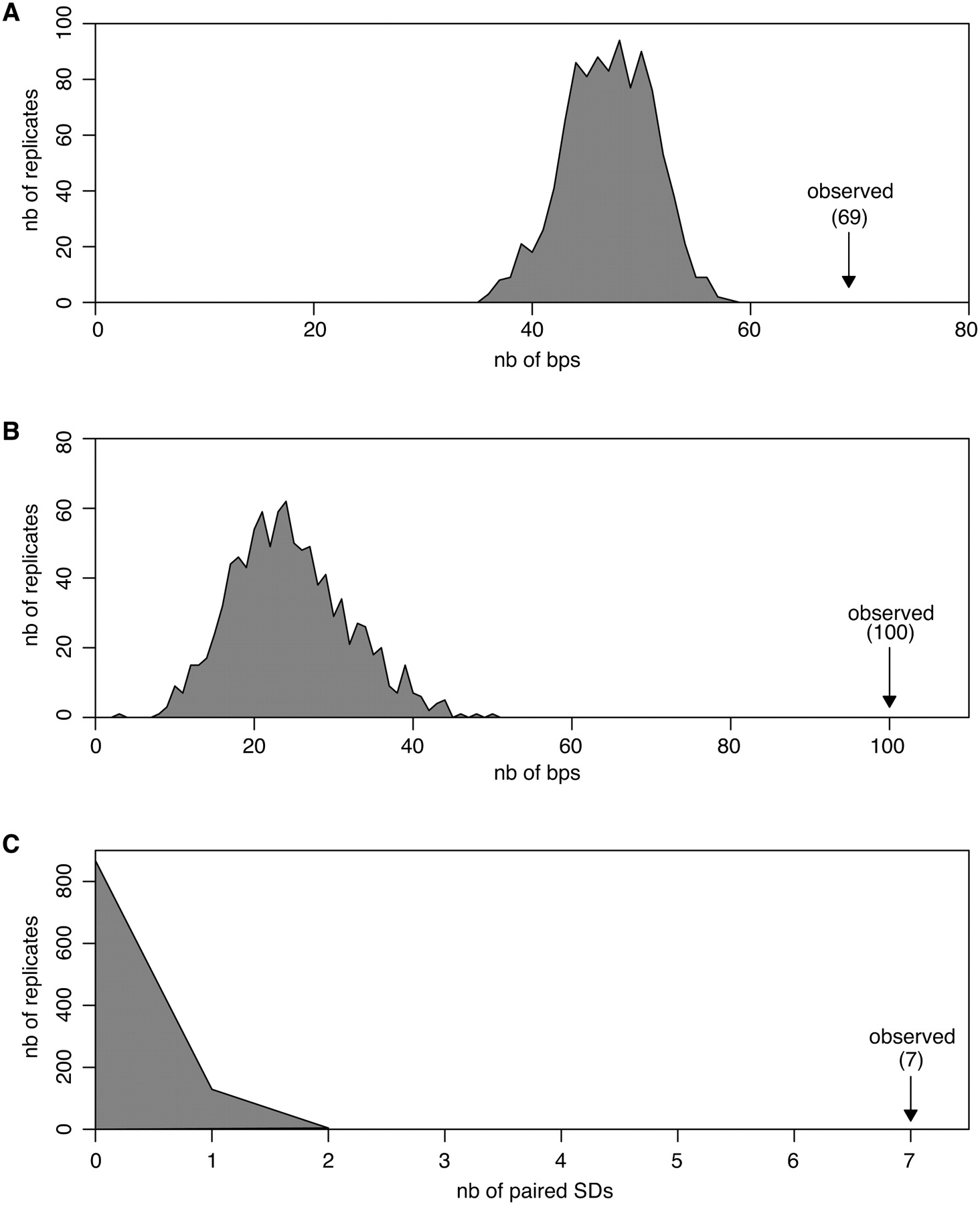
Association between segmental duplications (SDs) and human-specific breakpoint regions. (A) Simulations showing the enrichment of SDs in the human-specific breakpoints. (B) Simulations showing the enrichment of pairs of SDs in the human-specific breakpoints. (C) Simulations showing the enrichment of pairs of SDs associated with human-specific reversals. (Shaded areas) The distribution of values observed in 1000 matched random data sets. nb, number.











