
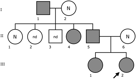
Figure 2.
Pedigree of the family. Individuals in gray have the repositioned centromere. (N) normal karyotype; (nd) no data.
(Downloading may take up to 30 seconds. If the slide opens in your browser, select File -> Save As to save it.)
Click on image to view larger version.

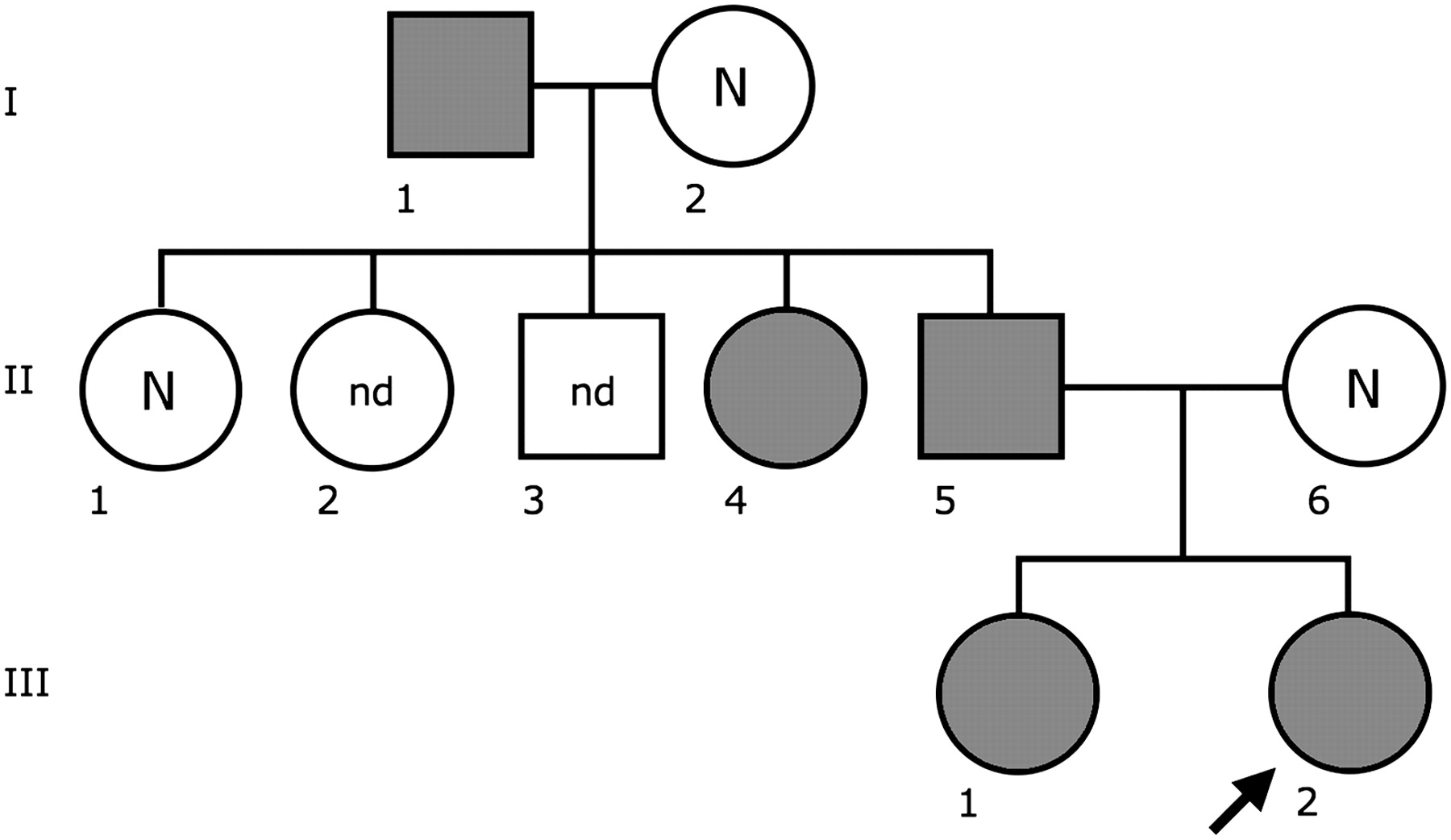
Pedigree of the family. Individuals in gray have the repositioned centromere. (N) normal karyotype; (nd) no data.