
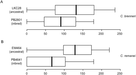
Persistent heterozygosity is associated with inbreeding depression. (A) Comparison of C. brenneri strains LKC28 (founder) with PB2801 (inbred for sequencing). The number of viable adults produced by PB2801 is significantly lower than those produced by LKC28 (p < 0.04; Kolmogorov–Smirnov test). (B) Comparison of C. remanei strains EM464 (founder) with PB4641 (inbred for sequencing). PB4641 has significantly lower fitness (p < 0.001, Kolmogorov–Smirnov test). Thick vertical lines indicate the median, boxes represent upper and lower quartiles, and whiskers the entirety of the distributions.











