
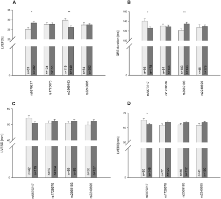
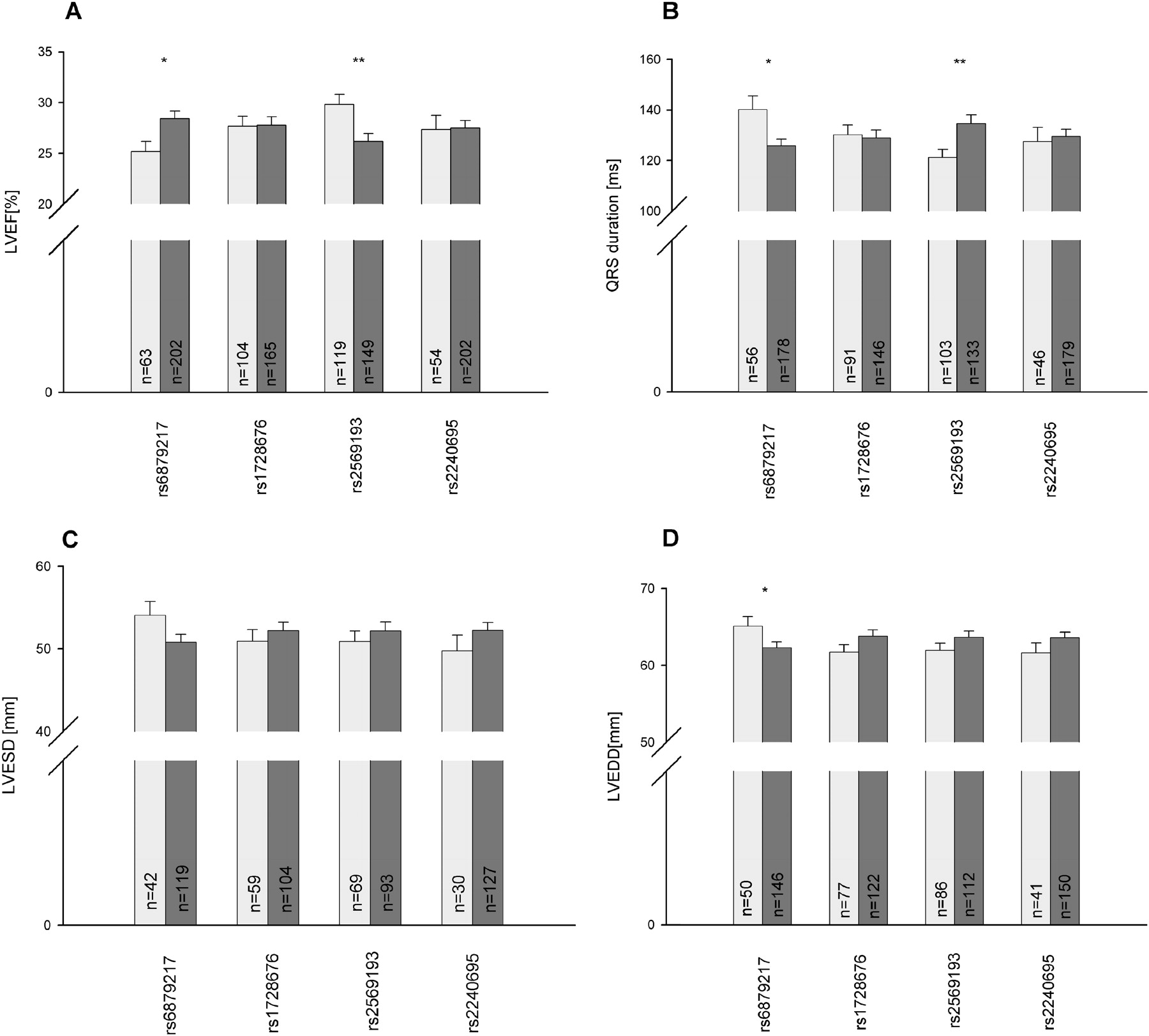
Influence of associated CM-cluster SNPs on heart function phenotypes. Cardiomyopathy (DCM) patients were stratified into SNP carrier (dark gray bar) and noncarrier (light gray bar) groups. Mean values and standard errors are given for each subgroup for the following heart function phenotypes: left ventricular ejection fraction (LVEF) (A); duration of the QRS complex, a structure on the electrocardiogram that corresponds to the depolarization of the ventricles (QRS) (B); left ventricular end-systolic diameter (LVESD) (C); left ventricular end-diastolic diameter (LVEDD) (D). Student's t-test has been used to compare group means; *P < 0.05; **P < 0.01.











