
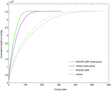
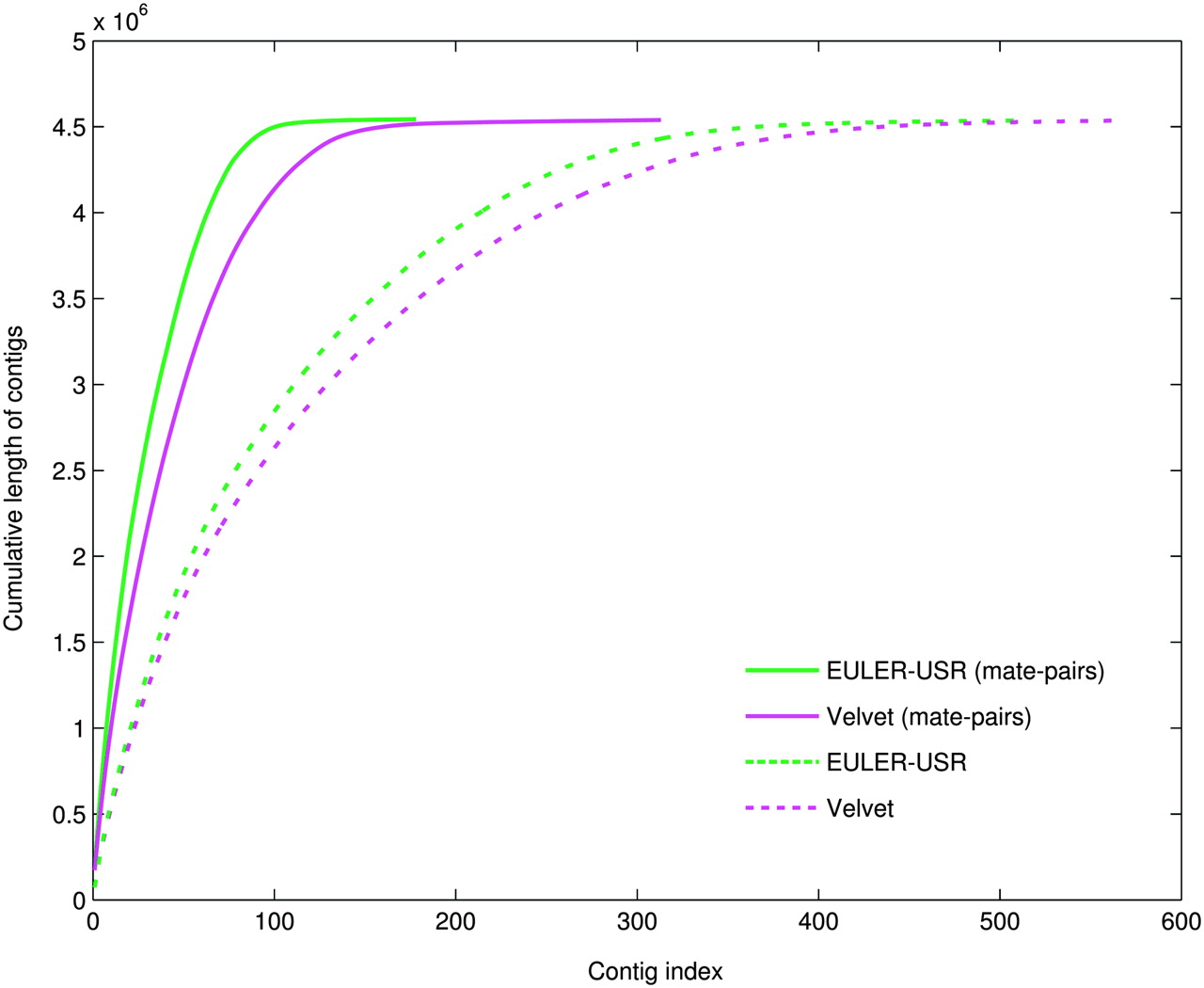
Figure 6.
Comparison of EULER-USR and Velvet using both paired reads and the same reads with mate-pair information removed (ECOLI data set). The contigs are ordered in the decreasing order of sizes and the cumulative size of x longest contigs are shown on the y-axis.











