
-
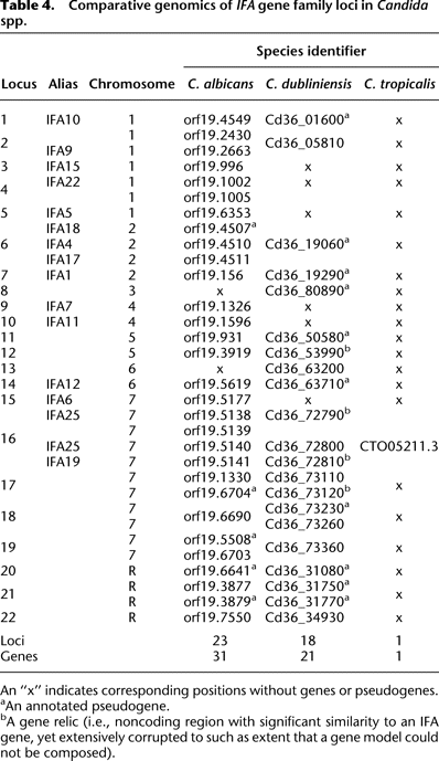
An “x” indicates corresponding positions without genes or pseudogenes.
-
aAn annotated pseudogene.
-
bA gene relic (i.e., noncoding region with significant similarity to an IFA gene, yet extensively corrupted to such as extent that a gene model could not be composed).











