
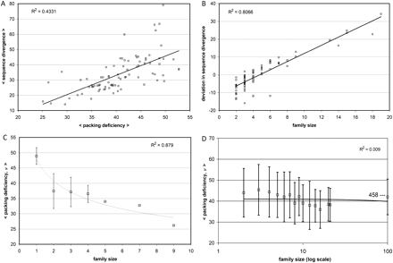
Selection pressure associated with evolution-related dosage imbalance for human families with low and high capacitance. (A) Correlation between paralog sequence divergence (δ) and packing deficiency (ν) for human families with low miRNA capacitance. Paralogs in families with high packing deficiency are under strong selection pressure, reflected in significant sequence divergence. (B) Correlation between family size (number of paralogs) and deviation in sequence divergence from the δ−ν fitting trend shown A. (C) Anti-correlation between packing deficiency (error bars denote dispersion) and family size for low-capacitance human families. A tight anti-correlation is observed between packing deficiency and number of surviving paralogs in 690 human families (including singletons) with low capacitance (〈τ〉 > 0 and significant mRNA coexpression 〈η 〉 ≥ 0.162). Paralog survival is dependent on the packing quality of the protein with P < 10−16 (Wilcoxon rank-sum test) (Supplemental Table 3). (D) Weak anti-correlation between packing deficiency (error bars denote dispersion) and family size for the 402 human families with high capacitance (〈τ〉 = 0). High capacitance clearly mitigates selection pressure on paralogs, suppressing deleterious effects.











