
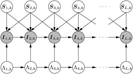
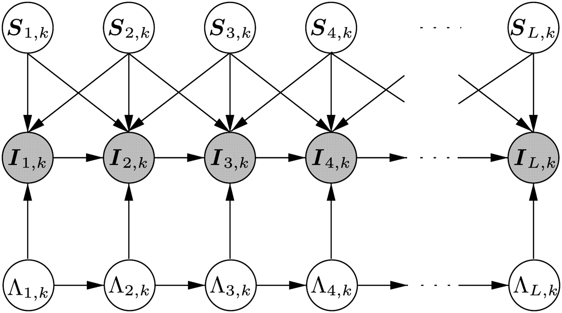
Figure 1.
The graphical model corresponding to our base-calling algorithm for cluster k. The observed random variables are the intensities It,k. Base-calling is done by finding the MAP estimates of St,k. In this example, the window size is 3, with l = r = 1. See Methods for a detailed description.











